Trefwoorden:Betadex Sulfobutyl Ether Natrium
Betadex Sulfobutyl Ether Natriumheeft een revolutie teweeggebracht in de farmaceutische excipiëntentechnologie. Dit zeer wateroplosbare cyclodextrinederivaat maakt de vorming mogelijk van stabiele inclusiecomplexen met actieve farmaceutische ingrediënten (API's), waardoor het mogelijk wordt geneesmiddelen te formuleren die voorheen beperkt waren door slechte oplosbaarheid en instabiliteit.
Door de oplosbaarheid, biologische beschikbaarheid en veiligheid van injecteerbare geneesmiddelen aanzienlijk te verbeteren, is Betadex Sulfobutyl Ether Sodium een cruciaal onderdeel geworden in moderne systemen voor medicijnafgifte. Dankzij de unieke moleculaire structuur kunnen hydrofobe medicijnmoleculen klinisch levensvatbaar worden door efficiënte moleculaire inkapseling.
Slecht oplosbare verbindingen blijven systemen voor medicijnafgifte uitdagen. Traditionele formuleringsstrategieën slagen er vaak niet in om adequate oplosbaarheid of stabiliteit te bereiken, waardoor veel veelbelovende kandidaat-geneesmiddelen de patiënten niet kunnen bereiken. Modern farmaceutisch onderzoek vertrouwt steeds meer op geavanceerde hulpstoffen om deze beperkingen te overwinnen en tegelijkertijd de veiligheid van de patiënt te behouden.

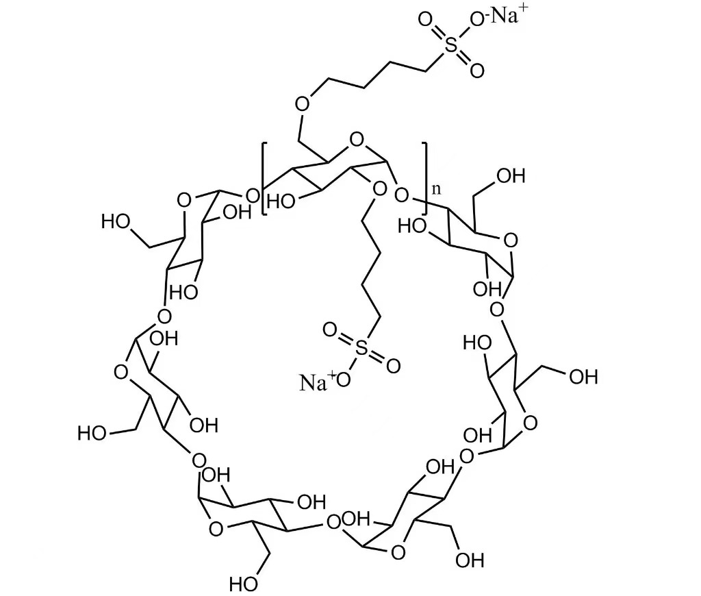
Sulfobutylethercyclodextrineis een anionisch cyclodextrinederivaat dat wordt gecreëerd door sulfobutylgroepen op de bèta-cyclodextrine-skelet te introduceren. Deze structurele modificatie verbetert de oplosbaarheid in water dramatisch vergeleken met natieve cyclodextrinen.
De hulpstof vormt niet-covalente inclusiecomplexen met geneesmiddelmoleculen. De hydrofobe binnenholte van de cyclodextrine herbergt lipofiele API's, terwijl het hydrofiele buitenoppervlak de wateroplosbaarheid handhaaft. Deze inkapseling verbetert de farmacokinetiek en beschermt gevoelige verbindingen tegen chemische afbraak.
De mate van substitutie heeft rechtstreeks invloed op de oplosbaarheidsefficiëntie. Hogere substitutieniveaus verbeteren de oplosbaarheid, maar optimale prestaties vereisen een evenwicht tussen oplosbaar makend vermogen en veiligheid.
Wetenschappelijke studies tonen aan dat Betadex Sulfobutyl Ether Natrium een lagere hemolytische activiteit en een verminderde renale accumulatie vertoont vergeleken met veel conventionele oplosbaarmakende middelen, waardoor het geschikt is voor herhaalde parenterale toediening.
Veel antischimmelmiddelen lijden aan een slechte oplosbaarheid in water, waardoor het injecteerbare gebruik ervan wordt beperkt. Betadex Sulfobutyl Ether Natrium vormt stabiele complexen met geneesmiddelen zoals voriconazol en posaconazol, waardoor effectieve injecteerbare formuleringen mogelijk zijn.
Naast verbetering van de oplosbaarheid verbetert complexering de pH-tolerantie en opslagstabiliteit, waardoor de houdbaarheid wordt verlengd en de therapeutische resultaten voor invasieve schimmelinfecties worden verbeterd.
Antivirale geneesmiddelen stuiten vaak op oplosbaarheidsbarrières die de parenterale toediening beperken. Sulfobutylethercyclodextrine maakt stabiele injecteerbare formuleringen mogelijk door API's te beschermen tegen afbraak en gecontroleerde afgifte mogelijk te maken.
Het succes van remdesivirformuleringen benadrukt het belang van op cyclodextrine gebaseerde solubilisatie bij de behandeling van ernstige virale infecties waarbij snelle en betrouwbare medicijnafgifte van cruciaal belang is.
Veel antikankermiddelen vertonen een lage oplosbaarheid in water, wat de klinische ontwikkeling belemmert. Betadex Sulfobutyl Ether Natrium maakt de formulering van deze krachtige verbindingen mogelijk met behoud van een gunstig veiligheidsprofiel.
De lage weefselaccumulatie en verminderde toxiciteit zijn bijzonder waardevol voor oncologische therapieën die herhaalde dosering vereisen, waardoor een hogere therapeutische blootstelling met verbeterde verdraagbaarheid mogelijk is.
Cardiovasculaire noodzorg is vaak afhankelijk van injecteerbare medicijnen met een snel effect. Deze hulpstof maakt stabiele formuleringen van slecht oplosbare cardioactieve middelen mogelijk.
De lage hemolytische activiteit van Betadex Sulfobutyl Ether Natrium maakt het bijzonder geschikt voor patiënten met een verminderde hartfunctie die geen hemolytische stress kunnen verdragen.
Pediatrische en geriatrische patiënten worden vaak geconfronteerd met problemen met orale doseringsvormen. Injecteerbare en vloeibare formuleringen die gebruik maken van sulfobutylethercyclodextrine zorgen voor een betrouwbare medicijnafgifte aan alle leeftijdsgroepen.
Moleculaire inkapseling maskeert ook de onaangename smaak, waardoor de therapietrouw van de patiënt wordt verbeterd, vooral bij pediatrische formuleringen.
Bij therapieën voor zeldzame ziekten zijn vaak API's met complexe fysisch-chemische eigenschappen betrokken. Betadex Sulfobutyl Ether Natrium helpt oplosbaarheidsproblemen te overwinnen zonder uitgebreide herontwikkeling van hulpstoffen.
Het gevestigde veiligheidsprofiel en de schaalbare productie verminderen de risico's op het gebied van regelgeving en ontwikkeling, waardoor de commercialisering van weesgeneesmiddelen wordt versneld.
Cyclodextrine-inkapseling beschermt API's tegen hydrolyse, oxidatie en fotodegradatie door reactieve groepen fysiek af te schermen.
Deze stabiliteitsverbetering ondersteunt de mondiale distributie, vooral in regio's met een beperkte koelketeninfrastructuur.
Xi'an Deli Biochemical Industry Co., Ltd. beschikt over meer dan 26 jaar expertise in de productie van cyclodextrine. Elke batch wordt rigoureus getest op substitutiegraad, onzuiverheden en endotoxinen.
Met een jaarlijkse productiecapaciteit van meer dan 200 ton Betadex Sulfobutyl Ether Natrium garanderen onze faciliteiten een stabiele levering op lange termijn voor zowel klinische als commerciële toepassingen.
Gevalideerde productieprocessen minimaliseren de variabiliteit van batch tot batch, waardoor farmaceutische klanten robuuste en reproduceerbare formuleringen kunnen ontwerpen.

Onze producten voldoen aan de belangrijkste vereisten uit de farmacopee, waardoor farmaceutische fabrikanten een consistente kwaliteit en vertrouwen in de regelgeving op de mondiale markten krijgen.
De groeiende wetenschappelijke literatuur en goedkeuringen door regelgevende instanties blijven de bredere acceptatie van Betadex Sulfobutyl Ether Natrium in geavanceerde medicijnafgiftesystemen ondersteunen.
Het optimaliseren van de kinetiek en thermodynamica van complexvorming is essentieel voor het bereiken van de gewenste oplosbaarheidsverbetering en geneesmiddelafgifteprofielen.
Inclusiecomplexen vereisen mogelijk aangepaste analytische methoden om API's nauwkeurig te kwantificeren. Gevalideerde, specifieke analytische technieken zijn van cruciaal belang.
Compatibiliteitsstudies garanderen formuleringsstabiliteit op lange termijn wanneer meerdere hulpstoffen in combinatie worden gebruikt.
Gentherapie, celtherapie en gepersonaliseerde geneeskunde vertegenwoordigen veelbelovende gebieden voor op cyclodextrine gebaseerde toedieningstechnologieën.
Cyclodextrinederivaten maken combinaties van vaste doses mogelijk met gecontroleerde afgifte en verbeterde stabiliteit.
Hybride systemen die cyclodextrinen combineren met nanodeeltjes openen nieuwe grenzen op het gebied van gerichte medicijnafgifte.
Naarmate de farmaceutische ontwikkeling vordert, blijft Betadex Sulfobutyl Ether Natrium complexe formuleringsuitdagingen aanpakken, terwijl het een uitstekend veiligheidsprofiel behoudt. De veelzijdigheid ervan op therapeutische gebieden maakt het tot een essentieel hulpmiddel voor de volgende generatie medicijnafgiftesystemen.
Vraag: Wat maaktsulfobutylethercyclodextrinesuperieur aan andere oplosbaar makende middelen?
A: Het biedt een lagere toxiciteit, verminderde hemolyse, omkeerbare complexvorming en verbeterde geneesmiddelstabiliteit in vergelijking met organische oplosmiddelen en oppervlakteactieve stoffen.
Vraag: Hoe beïnvloedt de mate van vervanging de prestaties?
A: Een hogere substitutie verbetert de oplosbaarheid, maar optimale prestaties vereisen een evenwicht tussen de efficiëntie en de veiligheid van de oplosbaarheid.
Vraag: Kan het worden gebruikt in orale formuleringen?
A: Ja, hoewel het in de eerste plaats is ontworpen voor injectables, kan het de oplosbaarheid in orale formuleringen verbeteren als dit wordt gerechtvaardigd door een therapeutisch voordeel.
Betadex Sulfobutyl Ether Natriumvan Xi'an Deli Biochemical Industry Co., Ltd. biedt een veilige, stabiele en schaalbare oplossing voor geavanceerde injecteerbare medicijnformuleringen. Neem contact met ons op viaxadl@xadl.comom meer te leren.