Nieuws uit de sector

Op cyclodextrine gebaseerde oplossingen voor verbetering van de oplosbaarheid en stabiliteit

2025-12-23 - Laat een bericht achter

Op cyclodextrine gebaseerde oplossingen voor verbetering van de oplosbaarheid en stabiliteit

Technisch overzicht van Hydroxypropyl Betadex en Betadex Sulfobutyl Ether Natrium

Cyclodextrinen worden algemeen erkend vanwege hun vermogen om de oplosbaarheid en stabiliteit van slecht oplosbare of chemisch gevoelige verbindingen te verbeteren. Vanwege hun unieke cyclische moleculaire structuur zijn cyclodextrinen en hun derivaten belangrijke functionele hulpstoffen geworden op farmaceutisch, chemisch en verwant gebied van formuleringen. Als reactie op de toenemende technische en wettelijke vereisten heeft Xi’an Deli Biochemical de technische documentatie en productondersteuning voor zijn belangrijkste cyclodextrinederivaten verder verfijnd:hydroxypropyl betadex (HPBCD) en betadex sulfobutylethernatrium (SBECD).


Structurele kenmerken en functionele prestaties van cyclodextrinen

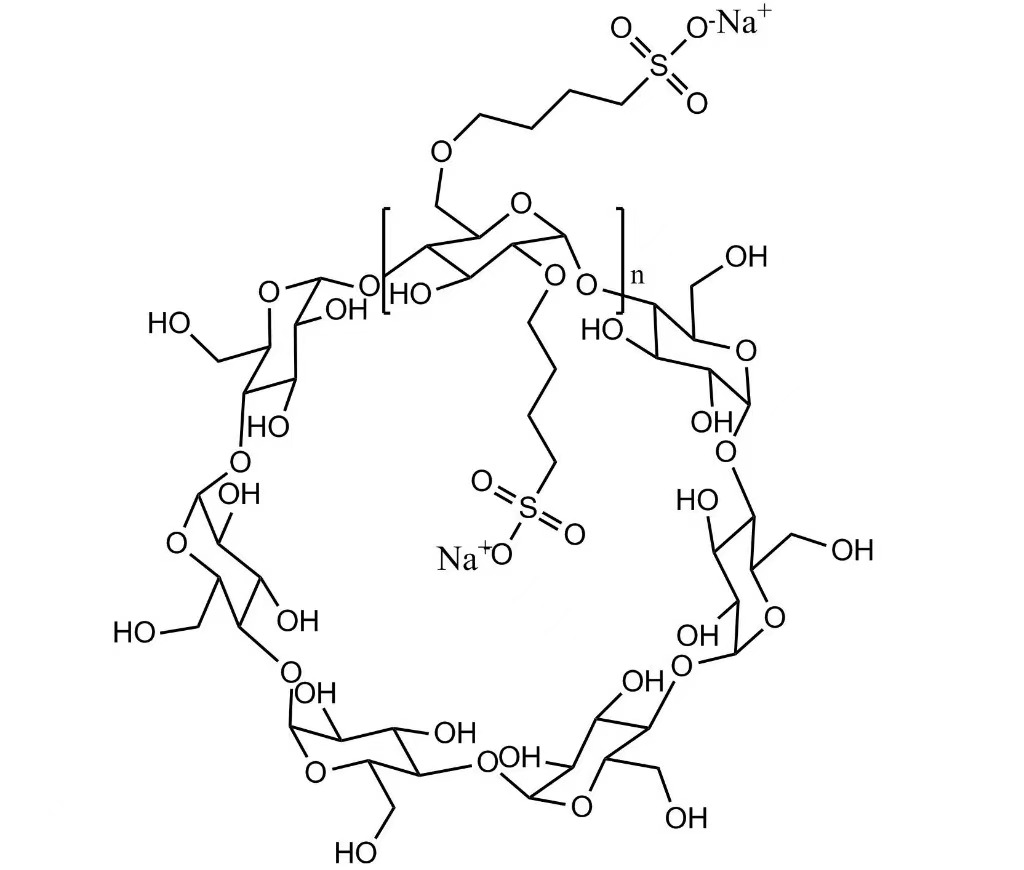
Cyclodextrinen zijn cyclische oligosachariden die zijn samengesteld uit glucose-eenheden die zijn verbonden door α-1,4-glycosidische bindingen. Hun moleculaire architectuur heeft een hydrofiel buitenoppervlak en een relatief hydrofobe interne holte, waardoor de vorming van inclusiecomplexen met een breed scala aan gastmoleculen mogelijk is. Chemische modificatie van de cyclodextrinestructuur kan de oplosbaarheid in water aanzienlijk verbeteren en de veelzijdigheid van toepassingen vergroten.


Hydroxypropyl Betadex (HPBCD)


Hydroxypropyl betadex is een chemisch gemodificeerde β-cyclodextrine die is ontworpen om de beperkte oplosbaarheid van natieve cyclodextrinen te overwinnen. De verbeterde wateroplosbaarheid en gunstige compatibiliteit maken HPBCD geschikt voor toepassingen die effectieve oplosbaarheid, stabilisatie en formuleringsflexibiliteit in diverse systemen vereisen.


Betadex Sulfobutyl Ether Natrium (SBECD)


Betadex sulfobutylethernatrium is een anionisch cyclodextrinederivaat gekenmerkt door sulfobutylethersubstituenten. Deze structuur verbetert de elektrostatische interacties met specifieke verbindingen en ondersteunt een verbeterde oplosbaarheid, complexe stabiliteit en robuustheid van de formulering in veeleisendere toepassingen.

Gestandaardiseerde productinformatie en technische ondersteuning

Om de ontwikkeling van formuleringen, kwaliteitsevaluatie en inkoopprocessen beter te ondersteunen, heeft Xi’an Deli Biochemical systematisch de productinformatie voor HPBCD en SBECD bijgewerkt, waaronder:


  • Duidelijk gedefinieerde en gestandaardiseerde productspecificaties en analytische parameters
  • Batchspecifieke analysecertificaten (COA) om traceerbaarheid en kwaliteitsverificatie te garanderen
  • Uitgebreide technische veelgestelde vragen over verwerking, opslag en typische toepassingsoverwegingen
  • Geoptimaliseerde productsamenvattingen ontworpen om efficiënte technische beoordeling en selectie mogelijk te maken


Deze verbeteringen zijn bedoeld om de transparantie te vergroten, de evaluatietijdlijnen te verkorten en consistente productprestaties gedurende de gehele leveringscyclus te ondersteunen.


Productie-ervaring en kwaliteitsborging

Xi’an Deli Biochemical, opgericht in 1999, heeft 26 jaar ervaring in de productie van cyclodextrinederivaten. Het bedrijf richt zich op de gecontroleerde productie van hydroxypropyl betadex en betadex sulfobutylether-natrium, waarbij de nadruk ligt op procesconsistentie, batch-tot-batch betrouwbaarheid en leveringsstabiliteit op de lange termijn. Gestructureerde kwaliteitsmanagementpraktijken ondersteunen de technische, regelgevende en inkoopvereisten van klanten.


Toepassingsgebied en technische samenwerking

Gebaseerd op de opname- en stabilisatiemechanismen van cyclodextrine, zijn HPBCD en SBECD toepasbaar op meerdere technische gebieden, waaronder farmaceutisch gerelateerde formuleringen, speciale chemicaliën, diergeneeskundige producten en andere systemen die verbeterde oplosbaarheid en stabiliteit vereisen. Xi’an Deli Biochemical blijft samenwerken met partners via toepassingsgerichte communicatie en technische samenwerking om de veranderende formuleringsbehoeften te ondersteunen.


Over bedrijven in de biochemische industrie van Xi'an Deli

Xi’an Deli Biochemical Industry Companies, opgericht in 1999, is een gespecialiseerde fabrikant van cyclodextrinederivaten en levert hydroxypropyl betadex (HPBCD) en betadex sulfobutylether natrium (SBECD) aan wereldwijde klanten. Met een langdurige focus op productconsistentie, duidelijke specificaties en praktische technische ondersteuning blijft het bedrijf zich inzetten voor het leveren van betrouwbare, op cyclodextrine gebaseerde oplossingen.


Als je wilt, kan ik ook:


  • Optimaliseer dit verder voor Google SEO (zonder de technische toon te verminderen)
  • Vat het samen in een “Technische Update”-versie op de productpagina
  • Pas het aan voor klanten die op regelgeving/kwaliteit gericht zijn


Vertel me gewoon waar je het wilt publiceren.


Stuur onderzoek


icon
X
We gebruiken cookies om u een betere browse-ervaring te bieden, het siteverkeer te analyseren en de inhoud te personaliseren. Door deze site te gebruiken, gaat u akkoord met ons gebruik van cookies. Privacybeleid
Afwijzen Accepteren